Featured
Sum Of Odd Numbers Formula
Sum Of Odd Numbers Formula. Please write comments if you find anything incorrect, or you want to share more information about the topic discussed above. If you need to add up all the odd or even numbers only in a range, you can use the following formulas:

So the two consecutive numbers are 96 and 98. S (n) = sum of first n numbers = 1 + 2 + 3 +. Simply, substitute in the formula = 10 2.
If So, Here It Is:
Please write comments if you find anything incorrect, or you want to share more information about the topic discussed above. We already know that, from 1 to 99, there are 50 odd numbers present. What is the sum of odd numbers from 1 to 100?
The Formula To Find The Sum Of Odd Numbers = N 2.
Nov 12, 2014 at 13:04. We know that the number of even numbers from 1 to 100 is n = 50. I guess you are looking for a closed form formula for the multiplication of first n even/odd numbers.
Find The Sum Of All Even Numbers From 1 To 100.
Simply, substitute in the formula = 10 2. Thus, the sum of the first 10 odd numbers is 100. Or, s n = 50 2.
This Is An Array Formula.
By the formula of the sum of odd numbers we come to know. I.e., 1 + 3+ 5 +.n terms = n 2 Sum of first 4 odd natural numbers (1,3,5,7) is 16 and is represented as sn = ( n )^2 or sum of first n terms = (value of n )^2.
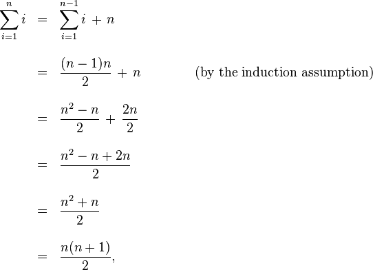
Sum Of Odd Numbers By Mathematical Induction:
By the formula of the sum of odd numbers we come to know. Or, s n = n 2. Sum odd or even numbers with formulas in excel.
Comments
Post a Comment